• お知らせ
  • 大会要項
  • 大会結果
  • 申請書式
  • 福島県連盟について
Skip to content
福島県ソフトテニス連盟

福島県ソフトテニス連盟

Fukushima Softtennis Association

お問い合わせ
  • お知らせ
  • 大会要項
  • 大会結果
  • 申請書式
福島県ソフトテニス連盟

福島県ソフトテニス連盟

お問い合わせ
  • お知らせ
  • 大会要項
  • 大会結果
  • 申請書式

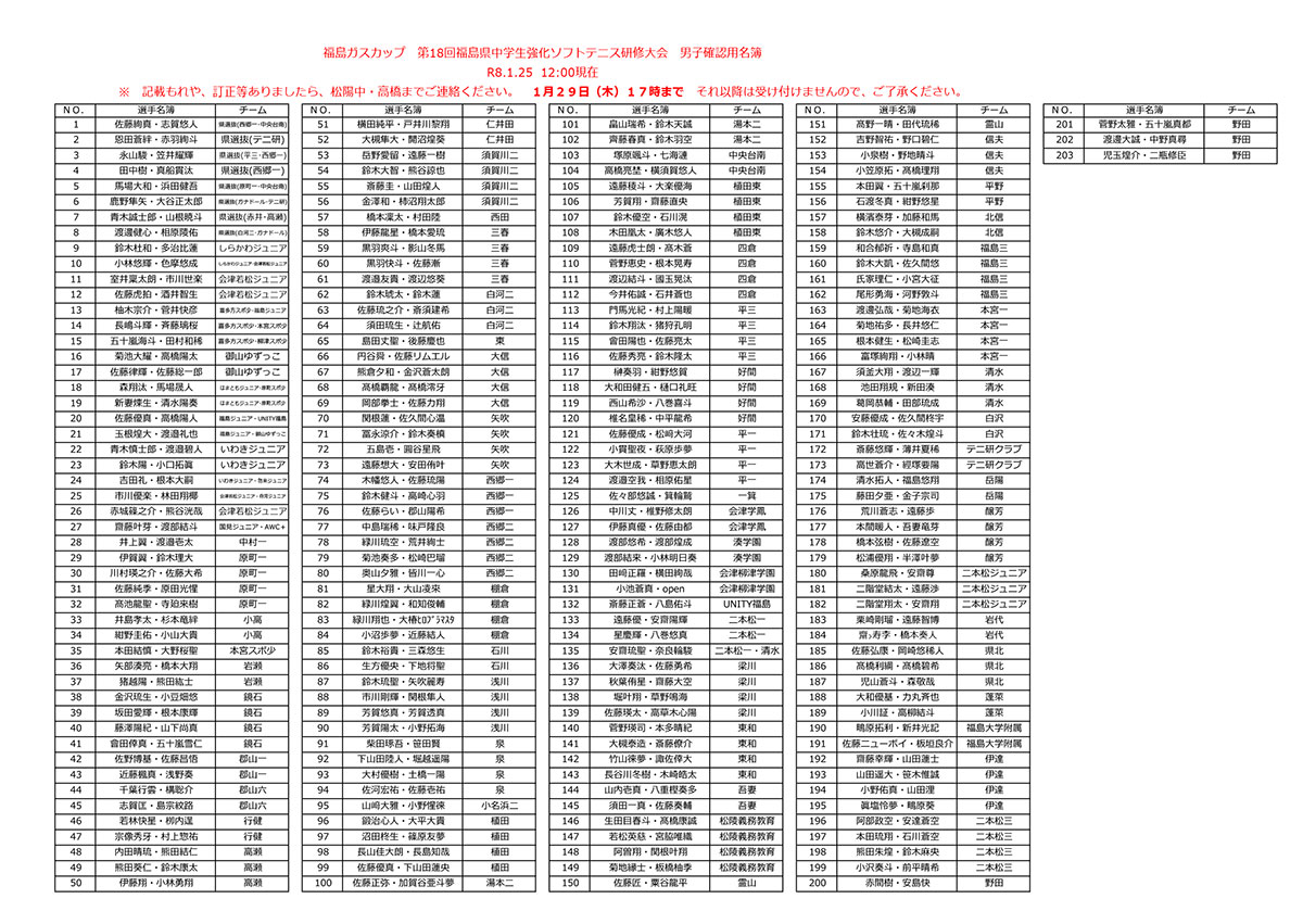
福島ガスカップ参加選手確認名簿について

Home > お知らせ > 福島ガスカップ参加選手確認名簿について
2026年1月28日2026年1月28日 fukushima-sta-adplayers

R7申込み一覧確認用

お知らせ

投稿ナビゲーション

第59回福島県インドアソフトテニス選手権大会 プログラム
関東オープンソフトテニス大会要項(福島県版)

連盟公式X(旧Twitter)

Tweets by oeFhsXNEds66854

全日本レディース特設ページ

連盟関連情報

  • 福島県連盟について
  • 強化委員会からのお知らせ
  • 審判委員会からのお知らせ
  • 指導普及委員会からのお知らせ
  • 関連団体・リンク
  • ソフトテニスマナーブック
  • 日本連盟システムマニュアル
  • 暴力通報・救済申立
  • 表彰・ランキング
  • 令和7年度 大会日程
  • 過去の大会結果

2025天皇賜杯・皇后賜杯 公式サイト

最新情報

  • 令和8年度福島県ソフトテニス連盟理事会・表彰式案内及び受賞者一覧について
  • ショートテニス大会プログラム・お知らせ・東北大会要項
  • 関東オープンソフトテニス大会要項(福島県版)
  • 福島ガスカップ参加選手確認名簿について
  • 第59回福島県インドアソフトテニス選手権大会 プログラム

キーワードから探す

アーカイブ

チームダンロップ

東北地方で唯一のソフトテニス女子実業団チーム、チームダンロップをご紹介するページです。

サイトマップ

  • お知らせ
  • 大会要項
  • 大会結果
  • 申請書式

連盟関連情報

  • 福島県連盟について
  • 強化委員会からのお知らせ
  • 審判委員会からのお知らせ
  • 指導普及委員会からのお知らせ
  • 関連団体・リンク
  • ソフトテニスマナーブック
  • 日本連盟システムマニュアル
  • 暴力通報・救済申立
  • 表彰・ランキング
  • 令和7年度 大会日程
  • 過去の大会結果

福島県ソフトテニス連盟事務局

〒960-8001
福島市天神町8-22東日ビル2F-C
電話024-563-7778
FAX024-563-7776

Copyright © 福島県ソフトテニス連盟 All right reserved.